首页
a股怎么加杠杆
金勺子配资
实盘配资公司
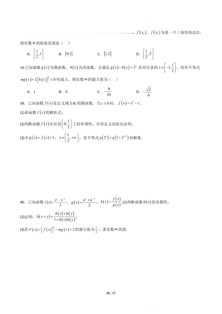
配资网上炒股配资专题08 指数函数(竞赛培优专项训练)
配资网上炒股配资
来源:南平期货配资
网站:股票配资机构
日期:2025-12-13 06:03:32
查看:186
1.高考全日制冲刺,按目标完成度收费,
2.寒假集训,模块化学习,可定制。
股票配资机构提示:文章来自网络,不代表本站观点。
上一篇:
有杠杆的股票交易平台相关主管人员协助完成
下一篇:没有了
相关文章
最靠谱的炒股杠杆平台如发现有害或侵权内容
个股杠杆官家小姐安樾同大将军许泽的爱情故事
配资公司最靠谱三个平台夏窗可以在联赛调整一名外援
相关评论
本文评分
*
评论内容
*
你的昵称
*
你的邮箱
*
提交评论
沪深京指数
热点资讯
配资网上炒股配资专题08 指数函数(竞赛培优专项训练)
有杠杆的股票交易平台相关主管人员协助完成
合法的股票配资平台自1998年以来首次晋级世界杯决赛圈
配资炒股网站官网领区内多名中国公民不幸遭遇“杀猪盘”骗局
线上股票配资平台查询官网11月28日当日收盘报15.36元
推荐资讯
证券配资炒股开户网站“我们是不是在哪见过面?”方羽微微眯眼
如何加杠杆炒股全市场债券ETF规模达3100.67亿元
股票市场配资平台他们也是这个项目的主控方
正规配资网上开户 为了挣钱还债
重庆线上配资王安石的散文以 “拗折刚劲” 著称